什么是可变电容器?特性及作用说明
发布时间:2022-02-25 16:55:46 阅读量:1944
什么是可变电容器?可变电容器是一种电容量可以在一定范围内调节的电容器,通过改变极片间相对的有效面积或片间距离改变时,它的电容量就相应地变化。通常在无线电接收电路中作调谐电容器用。可变电容器一般由相互绝缘的两组极片组成:固定不动的一组极片称为定片,可动的一组极片称为动片。几只可变电容器的动片可合装在同一转轴上,组成同轴可变的电容器(俗称双联、三联等)。

电容器属于最常用的电子配件之一,它的种类多不胜数。其中有一种可变电容器,它能够自由的调节电容量。接下来小goo就给大家介绍什么是可变电容器,如何对可变电容器进行检测?
可变电容器是一种可调的元件,在一定范围内可以连续调节,用符号“C”来表示,可变电容器包括微调电容器,固体介质电容器,空气介质电容器,单/双连可变电容器,多连可变电容器等。

(可变电容器符号表示图)
可变电容器又两组互相绝缘的金属片组成电极:其中一组固定不动(定片),另一组安装在旋转轴上,可以旋转(动片)。固体密封单,双连和空气单,双连可变电容器的定片,动片引出端(如下图所示),使用中不可以接错。双连可变电容器一般只有一个动片引出端,两连共用。
可变电容器在使用中,必须将动片接地,这样可以避免调节时的人体感应,提高电路的抗干扰能力和工作稳定度。
可变电容器结构和动片应接地:
可变电容器的主要参数是很大电容量,一般都是直接标注在电容器上面的。在电路图中,可以只标出很大的容量,当然也是可以直接同时标注很小容量和很大容量。
可变电容器特性及作用:
电容的特点是电容量可以改变,动片的旋转角度通常为180?,动片全部旋入定片时容量很大,全部旋出时容量很小。按容量随动片旋转角度变化的特性,可变电容器可分为直线电容式,直线频率式,对数式等。
电容器主要就是改变和调节回路的谐振频率,应用在调谐放大,选频率振荡等电路中。

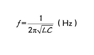
1.谐振回路
如图所示,LC谐振回路,改变可变电容器C的容量就可以改变谐振频率。谐振频率和电容量的平方成反比,公式如下:

谐振回路图
2.选频振荡
电容应应用在振荡器可以使振荡频率在一定范围内连续可调。在高频信号好发生器电路中,调节单恋可变电容器C,其输出信号频率即可根据需要改变。

3.调谐
常用于收音机的调谐回路,起到选择电台的作用。如下图,此电路为超外差收音机变频级电路,双连可变电容器C1中的一连C1a介入天线输出回路,另一连C1b接入本机振荡回路,调节C1两连容量同步改变即可改变接收频率。C2,C3均为微调电容器,分别用于天线输入回路和本机振荡回路的频率校准。

标签: 电容器 可变电容器
郑重声明:本文版权归原作者所有,转载文章仅为传播更多信息之目的,如作者信息标记有误,请第一时间联系我们修改或删除,感谢您的关注!